基本信息:
中文名称 3-溴吲唑-5-羧酸甲酯
中文别名 3-溴-1H-吲唑-5-甲酸甲酯;
英文名称 methyl 3-bromo-2H-indazole-5-carboxylate
英文别名 SC4424;methyl 3-bromo-1H-indazole-5-carboxylate;3-Bromo-4-(1H)indazole carboxylic acid methyl ester;METHYL 3-BROMOINDAZOLE-5-CARBOXYLATE;Methyl 3-bromoindazole-5-carboxylate;
CAS号 1086391-06-1
合成路线:
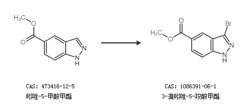
1.通过吲唑-5-甲酸甲酯合成3-溴吲唑-5-羧酸甲酯

2.通过1H-吲唑-5-羧酸合成3-溴吲唑-5-羧酸甲酯

中华试剂网提醒:合成路线仅供参考