基本信息:
中文名称 莽草酸
中文别名 (3R,4S,5R)-(-)-3,4,5-三羟基-1-环己烯羧酸;(3R,4S,5R)-(-)-3,4,5-三羟基-1-环己烯-1-甲酸;
英文名称 Shikimic acid
英文别名 (3R,4S,5R)-(-)-3,4,5-Trihydroxy-1-cyclohexene-1-carboxylic Acid;Shikimic Acid;(3R,4S,5R)-(?)-3,4,5-Trihydroxy-1-cyclohexenecarboxylic acid;(3R,4S,5R)-3,4,5-Trihydroxycyclohex-1-enecarboxylic acid;3,4,5-Trihydroxycyclohex-1-enecarboxylic acid;
CAS号 138-59-0
合成路线:
1.通过(-)-3-去氢莽草酸合成莽草酸

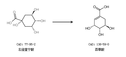
2.通过右旋奎宁酸合成莽草酸

合成路线仅供参考