基本信息:
中文名称 二氢黄豆苷元
中文别名 7-羟基-3-(4-羟苯基)-4-苯并二氢吡喃酮;
英文名称 dihydrodaidzein
英文别名 dihydrodaizein;7-Hydroxy-3-(4-hydroxyphenyl)-4-chromanone;7-hydroxy-3-(4-hydroxyphenyl)-2,3-dihydrochromen-4-one;7,4''-Dihydroxyisoflavanone;7-Hydroxy-3-(4-hydroxyphenyl)chroman-4-one;Dihydro Daidzein;4'',7-Dihydroxyisoflavanone;
CAS号 17238-05-0
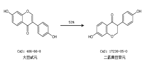
合成路线:
1.通过大豆甙元合成二氢黄豆苷元,收率约83%;

2.通过大豆甙元合成二氢黄豆苷元,收率约53%;

合成路线仅供参考