基本信息:
中文名称 二氟尼柳
中文别名 5-(2,4-二氟苯基)水杨酸;二氟苯水杨酸;氟苯水杨酸;2’,4’-二氟-4-羟基-[1,1’-联苯]-3-羧酸;5-(2,4-二氟苯基)水杨酸;
英文名称 diflunisal
英文别名 4'',6''-difluoro-4-hydroxybiphenyl-3-carboxylic acid;[14C]-Diflunisal;5-(2,4-Difluorophenyl)salicylic acid;2-hydroxy-5-(2'',4''-difluorophenyl)benzoic acid;Dolobis;Dolobid;Flustar;Diflunisalum;Adomal;5-(2,4-difluorophenyl)-2-hydroxybenzoic acid;Flovacil;Fluniget;Fluodonil;2'',4''-difluoro-4-hydroxy-3-biphenylcarboxylic acid;2'',4''-difluoro-4-hydroxy-[1,1''-biphenyl]-3-carboxylic acid;
CAS号 22494-42-4
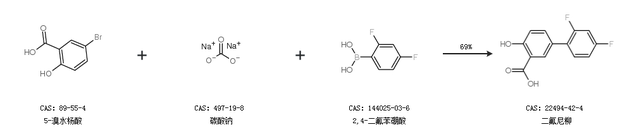
合成路线:
1.通过5-溴水杨酸、碳酸钠和2,4-二氟苯硼酸合成二氟尼柳,收率约69%;

2.通过5-溴水杨酸和2,4-二氟苯硼酸合成二氟尼柳,收率约93%;

合成路线仅供参考