基本信息:
中文名称 对联苯磺酰氯
中文别名 对联苯基磺酰氯;联苯-4-磺酰氯;4-联苯基磺酰氯;4-联苯磺酰氯;
英文名称 4-Biphenylsulfonyl Chloride
英文别名 [1,1''-Biphenyl]-4-sulfonyl chloride;4-BIPHENYL-SULFONYL CHLORIDE;4-Biphenylsulfonyl chloride;4-phenylbenzenesulfonyl chloride;
CAS号 1623-93-4
合成路线:
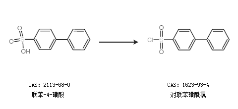
1.通过联苯-4-磺酸合成对联苯磺酰氯

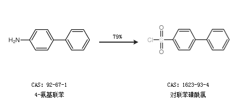
2.通过4-氨基联苯合成对联苯磺酰氯,收率约79%;

中华试剂网提醒 合成路线仅供参考