基本信息:
中文名称 1,4-丁二醇二甲基丙烯酸酯
中文别名 二甲基丙烯酸1,4-丁二醇酯;无水三甲胺;三甲胺 无水;2-甲基-2-丙烯酸-1,4-丁二醇酯;甲基丙烯酸(1,4-丁二醇)酯;
英文名称 1,4-Butanediol dimethacrylate
英文别名 1,4-butadediol;TMA-25;butane-1,4-diol dimethylacrylate;TMA-40;x970;1,4-dihydroxybutane dimethacrylate;butane-1,4-diyl di(methacrylate);TRIMETHYLAMINE;Butane-1,4-diol dimethacrylate;N-TRIMETHYLAMINE;R2,TRIMETHYLAMINE;DIMETHACRYLATE;TMA;
CAS号 2082-81-7
合成路线:
1.通过丙烯酰氯和1,3-二羟乙基金刚烷合成1,4-丁二醇二甲基丙烯酸酯,收率约92%;

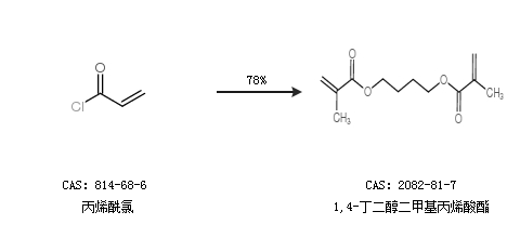
2.通过丙烯酰氯合成1,4-丁二醇二甲基丙烯酸酯,收率约78%;

合成路线仅供参考