基本信息:
中文名称 3-(3-硝基苯基)丙酸
中文别名 3-(3-硝基苯)丙酸;3-(3-硝苯基)丙酸;3-硝基氢化肉桂酸;间硝基苯丙酸;3-硝基苯丙酸;
英文名称 3-(3-Nitrophenyl)propionic acid
英文别名 3-(3-Nitrophenyl)propionic Acid;3-Nitrohydrocinnamic Acid;3-(3-nitrophenyl)propanoic acid;
CAS号 1664-57-9
合成路线:
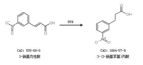
1.通过3-硝基肉桂酸合成3-(3-硝基苯基)丙酸,收率约85%;

2.通过3-硝基苯硼酸和丙烯酸合成3-(3-硝基苯基)丙酸,收率约90%;

合成路线仅供参考