基本信息:
中文名称 N,N''-二(2-羟乙基)草酰胺
中文别名 N,N''-二(2-羟乙基)乙二酰胺;N,N-二羟乙基草酰胺;N,N''-双(2-羟乙基)草酰胺;N,N''-草酰双(乙醇胺);
英文名称 N,N''-Bis(2-hydroxyethyl)oxamide
英文别名 N,N''-di(2-hydroxyethyl) oxamide;N1,N2-Bis(2-hydroxyethyl)oxalamide;N,N''-Oxalylbis(ethanolamine);N,N''-bis(2-hydroxyethyl)oxalamide;N,N''-Bis(2-hydroxyethyl)oxaMide;N,N''-Bis-(2-hydroxy-aethyl)-oxalamid;N,N-bis-2-hydroxyethyloxamide;N-(2-hydroxyethyl)-N''-(2-hydroxyethyl)ethane-1,2-diamide;
CAS号 1871-89-2
合成路线:
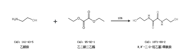
1.通过乙醇胺和乙二酸二乙酯合成N,N''-二(2-羟乙基)草酰胺,收率约10%;

2.通过乙二酸二乙酯合成N,N''-二(2-羟乙基)草酰胺,收率约93%;

合成路线仅供参考