基本信息:
中文名称 	3-(二丁胺)丙胺
中文别名 	3-二丁氨基丙胺;
英文名称 	3-(Dibutylamino)propylamine
英文别名 	N'',N''-dibutylpropane-1,3-diamine;N,N-Dibutyltrimethylenediamine;N,N-Dibutyl-1,3-diaminopropane;N1,N1-Dibutylpropane-1,3-diamine;N,N-Dibutyl-1,3-propanediamine;3-(DibutylaMino)propylaMine;
CAS号 	102-83-0
合成路线:
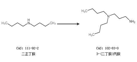
1.通过二正丁胺合成3-(二丁胺)丙胺

2.通过N-(3-溴丙基)苯二胺和二正丁胺合成3-(二丁胺)丙胺

合成路线仅供参考