基本信息:
中文名称 苯乙酰甘氨酸
中文别名 N-苯基乙酰甘氨酸;N-(苯乙酰基)甘氨酸;
英文名称 phenylacetylglycine
英文别名 2-[(2-phenylacetyl)amino]acetic acid;N-(Phenylacetyl)glycine;2-(2-Phenylacetamido)acetic acid;Phenaceturic Acid;PHENACETURIC ACID;N-Phenylacetylglycine;
CAS号 500-98-1
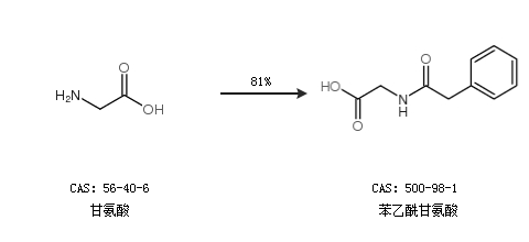
合成路线:
1.通过甘氨酸和氯化苯乙酰合成苯乙酰甘氨酸,收率约80%;

2.通过甘氨酸合成苯乙酰甘氨酸,收率约81%;

以上合成路线仅供参考