基本信息:
中文名称 反丁烯二腈
中文别名 富马酸腈;富马腈;反式-1,2-二氰基乙烯;富马二腈;
英文名称 (E)-but-2-enedinitrile
英文别名 FUMARONITRILE;(2E)-but-2-enedinitrile;Fumarodinitrile;2-Butenedinitrile,(2E);2-Butenedinitrile,(E);1,2-dicyanoethylene;Fumaric nitrile;trans-but-2-enedinitrile;But-2-enedinitrile;Furmaronitrile;trans-1,2-Dicyanoethylene;
CAS号 764-42-1
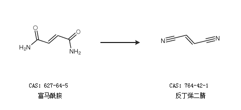
合成路线:
1.通过富马酰胺合成反丁烯二腈

2.通过丙烯腈合成反丁烯二腈

合成路线仅供参考