基本信息:
中文名称 反-1,2-二甲基环己胺
中文别名 反六氢邻二甲苯;反-六氢邻二甲苯;反-1,2-二甲基环己烷;
英文名称 1,trans-2-Dimethylcyclohexane
英文别名 1,2r-dimethyl-2,5-dihydro-1H-phosphole 1t-oxide;1,2-trans-dimethylcyclohexane;cis-1,2-Dimethyl-3-phospholinoxid;trans-1,2-Dimethyl-3-phospholenoxid;(+/-)-trans-1,2-dimethylcyclohexane;1,2-dimethyl-2,5-dihydro-1;1,2-dimethyl-2,5-dihydro-1h-phosphole 1-oxide;trans-1,2-dimethylbenzene;
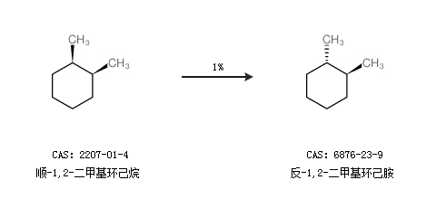
CAS号 6876-23-9
合成路线:
1.通过顺-1,2-二甲基环己烷合成反-1,2-二甲基环己胺,收率约1%;

2.通过氯甲酸异丙酯和环戊烯合成反-1,2-二甲基环己胺,收率约1%;

中华试剂网提醒:合成路线仅供参考