基本信息:
中文名称 Boc-Orn(Boc)-OH
中文别名 (2S)-2,5-双[(叔丁氧羰基)氨基]戊酸;
英文名称 (2S)-2,5-bis[(2-methylpropan-2-yl)oxycarbonylamino]pentanoic acid
英文别名 N,N''-Bis-Boc-L-ornithine;AmbotzBAA1120;
CAS号 57133-29-6
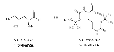
合成路线:
1.通过L-鸟氨酸合成Boc-Orn(Boc)-OH,收率约99%;

2.通过L-鸟氨酸盐酸盐合成Boc-Orn(Boc)-OH,收率约93%;

合成路线仅供参考