基本信息:
中文名称 6-溴-4-羟基香豆素
英文名称 6-bromo-4-hydroxychromen-2-one
英文别名 4-hydroxy-6-bromocoumarin;6-bromo-2-hydroxychromen-4-one;6-bromo-4-hydroxy-chromen-2-one;6-Bromo-4-hydroxy-2H-1-Benzopyran-2-one;6-Bromo-4-Hydroxycoumarin;6-bromo-4-hydroxy-2h-chromen-2-one;4-hydroxy-6-bromo-2H-1-benzopyran-2-one;
CAS号 4139-61-1
合成路线:
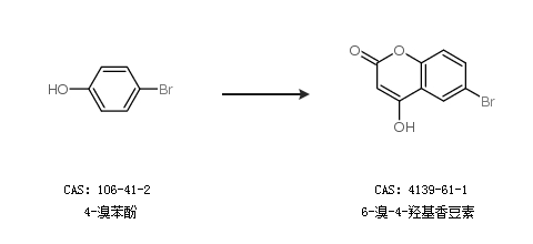
1.通过4-溴苯酚合成6-溴-4-羟基香豆素

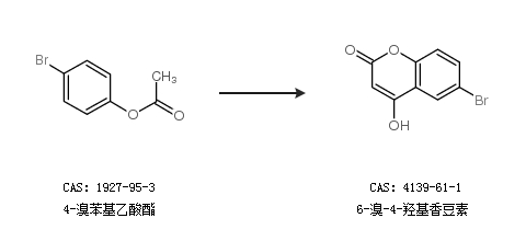
2.通过4-溴苯基乙酸酯合成6-溴-4-羟基香豆素

合成路线仅供参考