基本信息:
中文名称 奥克三唑
中文别名 2-[2-羟基-5-叔辛苯基)苯并三唑;紫外线吸收剂 UV-329;2-(2''-羟基-5''-特辛基苯基)苯骈三唑;紫外线吸收剂329;2-[2-羟基-5-(1,1,3,3-四甲丁基)苯基]苯并三唑;2-(2''''-羟基-5''''-叔辛基苯基)苯并三唑;2-(2''-羟基-5''-叔辛基苯基)苯并三唑;紫外线吸收剂UV-329;
英文名称 Octrizole
英文别名 UV ABSORBER 329;UV-329;UV ABSORBERS 5411;EUSORB 323;2-(2H-benzotriazol-2-yl)-4-(1,1,3,3-tetramethylbutyl)phenol;UV Absorber UV-329;2-(2-Hydroxy-5-tert-octylphenyl)benzotriazole;Cyasorb UV 5411;2-(2H-Benzo[d][1,2,3]triazol-2-yl)-4-(2,4,4-trimethylpentan-2-yl)phenol;Benzotriazole UV 329;ThasorbUv329;TINUVIN 329;
CAS号 3147-75-9
合成路线:
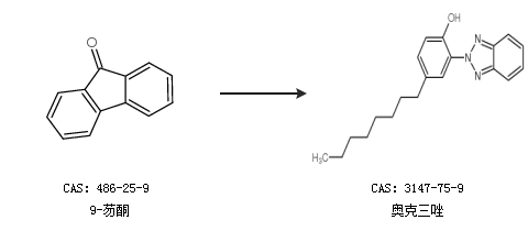
1.通过9-芴酮合成奥克三唑

2.通过2-(2’-硝基苯偶氮)-4-叔辛基酚合成奥克三唑,收率约97%;

中华试剂网提醒:合成路线仅供参考