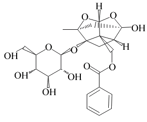
基本信息:
中文名称 芍药苷
中文别名 芍药甙;芍药甙;
英文名称 Paeoniflorin
英文别名 Paeony root;PAEONIFLORIN(P);peoniflorin;Delmacinone;Paeonia lactiflora P,E,;PACLITAXEL;Paeonia moutan;Paeoniflorm;,Peoniflorin;paeoniflorine;
CAS号 23180-57-6
合成路线:
1.通过2,3,4,6-四-O-苯基-Alpha-D-吡喃葡萄糖基三氯乙酰亚氨酸合成芍药苷

合成路线仅供参考