基本信息:
中文名称 维生素 E
中文别名 (+/-)-[2R*(4R*,8R*)]-3,4-二氢-2,5,7,8-四甲基-2-(4,8,12-三甲基十三烷基)-6-色满醇;维生素E;[2R*(4R*,8R*)]-(+-)-3,4-二氢-2,5,7,8-四甲基-2-(4,8,12-三甲基十三烷基)-2H-1-苯并吡喃-6-醇;维他命 E;
英文名称 d-.α.-Tocopherol
英文别名 A-TOCOPHEROL;DL-PHYTOGERMINE;DL-PROFECUNDIN;DL-VITAMIN E;IRGANOX E 201;Ido-e;DL-TOCOPHEROL;
CAS号 2074-53-5
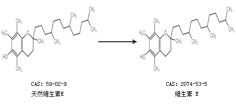
合成路线:
1.通过天然维生素E合成维生素 E

合成路线仅供参考