基本信息:
中文名称 3-溴-6-羟基喹啉
英文名称 3-bromoquinolin-6-ol
英文别名 3-bromo-6-hydroxyquinoline;3,8-dibromo-6-hydroxyquinoline;3-Brom-6-hydroxy-chinolin;6-Quinolinol,3-bromo;3-bromo-quinolin-6-ol;
CAS号 13669-57-3
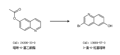
合成路线:
1.通过3-溴喹啉-6-基 乙酸酯合成3-溴-6-羟基喹啉,收率约88%;

2.通过喹啉-6-基乙酸酯合成3-溴-6-羟基喹啉

合成路线仅供参考