基本信息:
中文名称 二异丁基甲酮
中文别名 2,6-二甲-4-庚酮;2,6-二甲基-4-庚酮;
英文名称 2,6-Dimethyl-4-heptanone
英文别名 isovaleron;METHYL NONYL KETONE, 2-HENDECANONE;2,6-dimethylheptan-4-one;DIISOBUTYL KETONE (DIBK): CP;2,6-Dimethylheptan-4-one;DIISOBUTYL KETONE FOR SYNTHESIS;DIISOBUTYLKETONE;ISOBUTYL KETONE;FEMA 3537;DIBK;Diisobutyl Ketone;2,6-Dimethyl-4-Heptanone;2,5-DIMETHOXY-4-PIPERIDIN-1-YL-BENZALDEHYDE;DI-ISO BUTYL KETONE;ISOVALERONE;Diisobutyl ketone,Isovalerone;Diisobutylketon;DI-ISOBUTYLKETONE;2,6-DIMETHYL-4-HEPTA;2,6-Dimethyl-4-Heptanone (Dibk );DIISOBUTYL KETONE (DIBK);2,6-DIMETHYL-4-HEPTANONE (ISO-BUTYL KETONE, ISO-NONANONE, ISO-VALERONE);4-HEPTANONE,2,6-DIMETHYL-;VALERONE;
CAS号 108-83-8
合成路线:
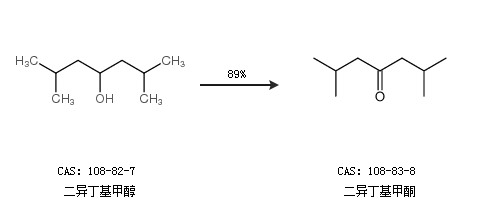
1.通过二异丁基甲醇合成二异丁基甲酮,收率约89%;

2.通过2,6-二甲基-2,5-庚二烯-4-酮合成二异丁基甲酮,收率约89%;

中华试剂网提醒 合成路线仅供参考