基本信息:
中文名称 3,4-二羟基苯基丙酸
中文别名 二氢咖啡酸;3,4-二羟基苯丙酸;3,4-二羟苯基丙酸;3-(3,4-二羟基苯基)丙酸
英文名称 3-(3,4-dihydroxyphenyl)propanoic acid
英文别名 3,4-Dihydroxy-Hydrocinnamic Acid; 3-(3,4-Dihydroxyphenyl)Propionic Acid; Hydrocaffeic Acid; Dihydrocaffeic Acid; 3,4-Dihydrocaffeic Acid; 3,4-Dihydroxyhydrocinnamic Acid; 3,4-Dihydroxy-Benzenepropanoic Acid; 3-Hydroxyphloretic Acid
CAS号 1078-61-1
合成路线:
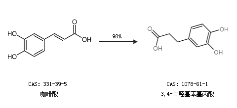
1.通过咖啡酸合成3,4-二羟基苯基丙酸,收率约98%;

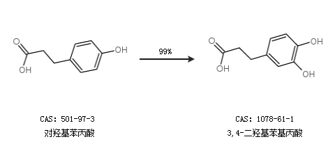
2.通过对羟基苯丙酸合成3,4-二羟基苯基丙酸,收率约99%;

合成路线仅供参考