基本信息:
中文名称 4-(溴乙酰基)吡啶氢溴酸盐
中文别名 2-溴-1-(4-吡啶基)-1-乙酮氢溴酸;2-溴-1-(4-吡啶基)-1-乙酮氢溴酸;4-(溴乙酰基)吡啶溴酸盐;2-溴-1-(4-吡啶基)乙酮;4-溴乙酰基吡啶氢溴酸盐;4-(溴乙酰基)吡啶盐酸;
英文名称 4-(Bromoacetyl)pyridine hydrobromide
英文别名 2-Bromo-1-(pyridin-4-yl)ethanone hydrobromide;2-bromo-1-pyridin-4-ylethanone,hydrobromide;
CAS号 5349-17-7
合成路线:
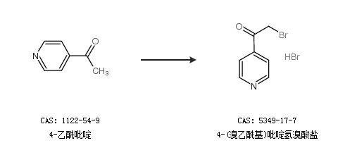
1.通过4-乙酰吡啶合成4-(溴乙酰基)吡啶氢溴酸盐,收率约99%;

2.通过4-乙酰吡啶合成4-(溴乙酰基)吡啶氢溴酸盐

合成路线仅供参考