基本信息:
中文名称 双(二苯基膦)丁烷
中文别名 (R,R)-手性膦;(2R,3R)-(+)-二(二苯基膦)丁烷;
英文名称 (2R,3R)-(+)-BIS(DIPHENYLPHOSPHINO)BUTANE
英文别名 (2R,3R)-2,3-Bis(diphenylphosphino)butan;bis(diphenylphosphino)-1,2-dimethylethane;(R,R)-2,3-bis(diphenylphosphanyl)butane;(-)-(2S,3S)-bis(diphenylphosphino)butane;R,R-Chiraphos;(2R,3R)-(+)-Bis(diphenylphosphino)butane (R,R)-CHIRAPHOS;(2R,3R)-(+)-2,3-BIS(DIPHENYL PHOSPHINO)BUTANE;
CAS号 74839-84-2
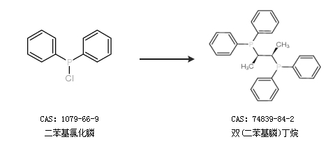
合成路线:
1.通过二苯基氯化膦合成双(二苯基膦)丁烷

2.通过三苯基膦合成双(二苯基膦)丁烷

合成路线仅供参考