基本信息:
中文名称 三特丁基膦溴化钯
中文别名 二溴双(三叔丁基膦)化钯;三叔丁基溴化膦钯(I);三叔丁基溴化膦钯(I);二溴双(三叔丁基膦)二钯(I);双-μ-溴双(三-叔丁基膦)二钯(I);
英文名称 palladium,tritert-butylphosphane,bromide
英文别名 Di-;PALLADIUM (I) TRI-TERT-BUTYLPHOSPHINE BROMIDE;
CAS号 185812-86-6
合成路线:
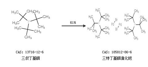
1.通过三叔丁基膦合成三特丁基膦溴化钯,收率约90%;

2.通过三叔丁基膦合成三特丁基膦溴化钯,收率约61%;

中华试剂网提醒:合成路线仅供参考