基本信息:
中文名称 N-丙酮基吡啶溴化物
中文别名 N-乙酰溴化吡啶;
英文名称 1-pyridin-1-ium-1-ylpropan-2-one,bromide
英文别名 1-pyridylacetone,bromide;1-(2-OXOPROPYL)PYRIDINIUM BROMIDE;N-ACETONYLPYRIDINIUM BROMIDE;1-pyridin-1-ium-1-ylpropan-2-one bromide;1-acetonyl-pyridinium,bromide;1-Acetonyl-pyridinium,Bromid;
CAS号 17282-41-6
合成路线:
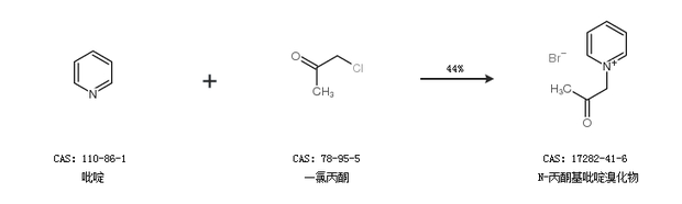
1.通过吡啶和一氯丙酮合成N-丙酮基吡啶溴化物,收率约44%;

2.通过吡啶和溴丙酮合成N-丙酮基吡啶溴化物

中华试剂网提醒:合成路线仅供参考