基本信息:
中文名称 1-丁基膦酸二乙酯
英文名称 1-diethoxyphosphorylbutane
英文别名 diethyl butylphosphonite;diethyl butane-1-phosphonate;n-butylphosphonic acid diethyl ester;Diethyl butylphosphonate;diethyl n-butylphosphonate;Diethyl-butylphosphonat;Diethyl 1-butylphosphonate;butyldiethylphosphonate;P-Butyl-Phosphonic Acid Diethyl Ester;Diethyl n-butanephosphonate;
CAS号 2404-75-3
合成路线:
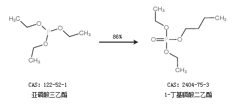
1.通过亚磷酸三乙酯合成1-丁基膦酸二乙酯,收率约86%;

2.通过正溴丁烷和亚磷酸三乙酯合成1-丁基膦酸二乙酯,收率约93%;

中华试剂网提醒:合成路线仅供参考