基本信息:
中文名称 N,N''-二对甲苯基联苯胺
中文别名 N,N-二间甲苯基联苯胺;
英文名称 N,N''-Di-p-tolylbenzidine
英文别名 N,N′-Di-p-tolylbenzidine;4-methyl-N-[4-[4-(4-methylanilino)phenyl]phenyl]aniline;N4,N4''-Di-p-tolyl-[1,1''-biphenyl]-4,4''-diamine;N,N''-Bis(4-methylphenyl)benzidine;
CAS号 10311-61-2
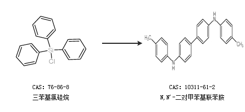
合成路线:
1.通过4,4-二碘联苯和对甲苯胺合成N,N''-二对甲苯基联苯胺,收率约40%;

2.通过三苯基氯硅烷合成N,N''-二对甲苯基联苯胺

合成路线仅供参考