基本信息:
中文名称 4-溴-4'',4''''-二甲基三苯胺
中文别名 4-溴-4’,4’’-二甲基三苯胺;
英文名称 4-Bromo-4'',4''''-dimethyltriphenylamine
英文别名 N-(4-bromophenyl)-4-methyl-N-(4-methylphenyl)aniline;
CAS号 58047-42-0
合成路线:
1.通过4,4''-二甲基三苯胺合成4-溴-4'',4''''-二甲基三苯胺,收率约73%;

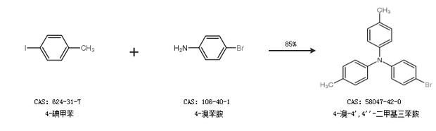
2.通过4-碘甲苯和4-溴苯胺合成4-溴-4'',4''''-二甲基三苯胺,收率约85%;

合成路线仅供参考