基本信息:
中文名称 N-甲基高哌嗪
中文别名 1-甲基-1,4-二氮杂环庚烷盐酸盐;1-甲基高哌嗪;六氢-1-甲基-1H-1,4-二氮杂卓;N-甲基-1,4-二氮杂环庚烷;
英文名称 N-Methylhomopiperazine
英文别名 N-Methyl Homopiperazine;N-methylhomopiperazine;Hexahydro-1-methyl-1H-1,4-diazepine;1-methyl-1,4-diazepane;1-Methylhomopiperazine;1-Methyl-1,4-diazepane;
CAS号 4318-37-0
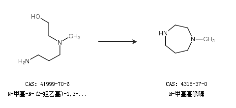
合成路线:
1.通过N-甲基-N-(2-羟乙基)-1,3-丙二胺合成N-甲基高哌嗪

中华试剂网提醒:合成路线仅供参考