基本信息:
中文名称 5,6-二甲基-1,10-菲咯啉
中文别名 5,6-二甲基-1,10-菲罗啉;5,6-二甲基邻二氮杂菲;5,6-二甲基-1,10-邻二氮杂菲;5,6-二甲基-1,10-菲啰啉;
英文名称 5,6-Dimethyl-1,10-phenanthroline
英文别名 5,6-dimethyl-1,1-phenanthroline;1,10-Phenanthroline,5,6-dimethyl;5,6-Me2-phen;dimethyl-5,6 phenantroline-1,10;6-dimethyl-1,10-phenanthroline;5,6-di-methyl-1,10-phenanthroline;
CAS号 3002-81-1
合成路线:
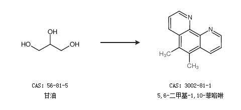
1.通过甘油合成5,6-二甲基-1,10-菲咯啉

合成路线仅供参考