基本信息:
中文名称 5 5''-二甲基-2,2''-二吡啶
中文别名 3,3''-二甲基-6,6''-联吡啶;55''-二甲基-2,2-联吡啶;5,5’-二甲基-2,2’-联吡啶;5,5''-二甲基-2,2''-联吡啶;6,6''-联-3-皮考啉;6,6''-二-3-皮考啉;
英文名称 5-methyl-2-(5-methylpyridin-2-yl)pyridine
英文别名 6,6''-Di-3-picoline;5,5''-dimethyl-bpy;5,5''-Dimethyl-2,2''-dipyridyl;5,5''-dimethyl-2,2''-bipy;6,6''-Di-3-picolyl;5,5''-Dimethyl-2,2''-bipyridyl;5,5''-dimethyl-2,2''-bispyridine;2,2''-BIPYRIDINE,5,5''-DIMETHYL;5,5''-Dimethyl-2,2''-bipyridine;
CAS号 1762-34-1
合成路线:
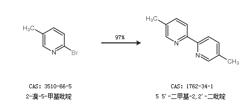
1.通过2-溴-5-甲基吡啶合成5 5''-二甲基-2,2''-二吡啶,收率约97%;

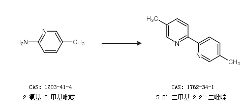
2.通过2-氨基-5-甲基吡啶合成5 5''-二甲基-2,2''-二吡啶

中华试剂网提醒:合成路线仅供参考