基本信息:
中文名称 双(4-叔丁基苯基)胺
中文别名 4,4 -二叔丁基二苯基胺;二(4-叔丁基苯基)胺;
英文名称 Bis(4-<i>tert</i>-butylphenyl)amine
英文别名 4,4''-Di-tert-butyldiphenylamine;Bis(4-tert-butylphenyl)aMine;4-tert-butyl-N-(4-tert-butylphenyl)aniline;
CAS号 4627-22-9
合成路线:
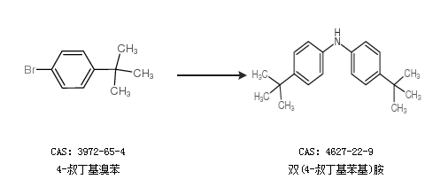
1.通过4-叔丁基溴苯合成双(4-叔丁基苯基)胺

2.通过4-叔丁基溴苯和4-叔丁基苯胺合成双(4-叔丁基苯基)胺,收率约79%;

中华试剂网提醒:合成路线仅供参考