基本信息:
中文名称 2,6-二羟基嘌呤
中文别名 3,7-二氢-1H-嘌呤-2,6-二酮;黄嘌呤;
英文名称 7H-xanthine
英文别名 Xanthin;3,7-dihydro-purine-2,6-dione;2,5-DIFLUOROTHIOBENZAMIDE;Xan;UREOUS ACID;xanthicoxide;ISOXANTHINE;usafcb-17;Dioxopurine;Xanthione;2,6-Dihydroxypurine;
CAS号 69-89-6
合成路线:
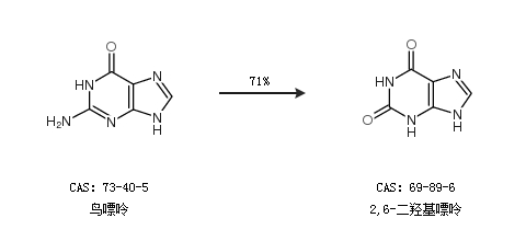
1.通过鸟嘌呤合成2,6-二羟基嘌呤,收率约71%;

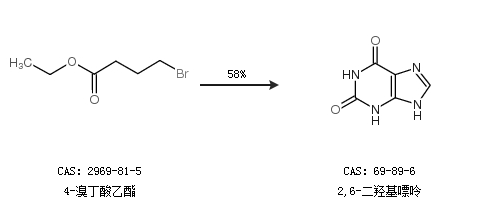
2.通过4-溴丁酸乙酯合成2,6-二羟基嘌呤,收率约58%;

中华试剂网提醒 合成路线仅供参考