基本信息:
中文名称 3,4,7,8-四甲基-1,10-菲罗啉
中文别名 3,4,7,8-四甲基-1,10-邻二氮杂菲;3,4,7,8-四甲基-1,10-菲啰啉;
英文名称 3,4,7,8-Tetramethyl-1,10-phenanthroline
英文别名 3,4,7,8-tetra-methyl-1,10-phenanthroline;1,10-Phenanthroline,3,4,7,8-tetramethyl;3,4,7,8-tetramethylpyridino[3,2-h]quinoline;3,4,7,8-tetramethyl-phen;3,4,7,8-tmphen;3,4,7,8-Me4phen;
CAS号 1660-93-1
合成路线:
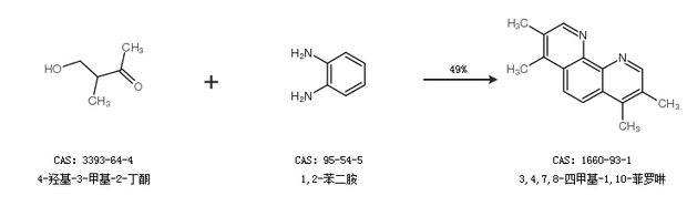
1.通过4-羟基-3-甲基-2-丁酮和1,2-苯二胺合成3,4,7,8-四甲基-1,10-菲罗啉,收率约49%;

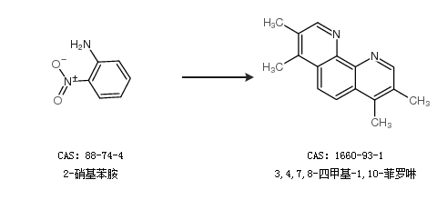
2.通过2-硝基苯胺合成3,4,7,8-四甲基-1,10-菲罗啉

中华试剂网提醒:合成路线仅供参考