基本信息:
中文名称 2,2,6,6-四甲基-3,5-庚二酮
中文别名 四甲基庚二酮;双(三甲基乙酰基)甲烷;二新戊酰甲烷;2,2,6,6-四甲基-3,5-庚烷二酮;二叔戊酰甲烷;
英文名称 2,2,6,6-Tetramethyl-3,5-Heptanedione
英文别名 2,2,6,6-Tetramethylheptane-3,5-dione;2,2,6,6-tetramethylheptane-3,5-dione;2,2,6,6-Tetramethyl-3,5-heptanedione;DipivaloylMethane;
CAS号 1118-71-4
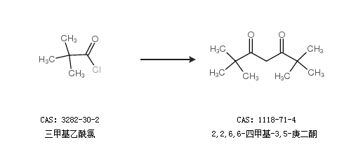
合成路线:
1.通过频哪酮和三甲基乙酸甲酯合成2,2,6,6-四甲基-3,5-庚二酮,收率约63%;

2.通过三甲基乙酰氯合成2,2,6,6-四甲基-3,5-庚二酮

中华试剂网提醒 合成路线仅供参考