基本信息:
中文名称 汉防己甲素
中文别名 (S,S)-(+)-粉防已碱;(1β)-6,6'',7,12-Tetramethoxy-2,2''-dimethylberbaman;粉防己碱;
英文名称 D-Tetrandrine
英文别名 sinomeninea;TETRANDRIN;Tetrandrine;hanfangchin A;fanchinine;Trandrine;Conba;Jinake;6,6'',7,12-tetramethoxy-2,2''-dimethyl-berbaman;
CAS号 518-34-3
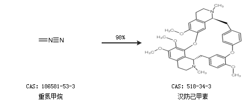
合成路线:
1.通过重氮甲烷合成汉防己甲素,收率约98%;

合成路线仅供参考