基本信息:
中文名称 2,2''-联吡啶-4,4''-二甲酸
中文别名 2,2’-联吡啶-4,4’-二羧酸;2,2''-二吡啶基-4,4''-二羧酸;4.4''-二羟基-2,2''-联吡啶;2,2''-联吡啶-4,4''-二羧酸;2,2-联吡啶-4,4-二甲酸;2,2''-联异烟酸;
英文名称 2,2''-Bipyridine-4,4''-dicarboxylic acid
英文别名 2-(4-carboxypyridin-2-yl)pyridine-4-carboxylic acid;
CAS号 6813-38-3
合成路线:
1.通过2,2''-联吡啶-4,4''-二甲酸甲酯合成2,2''-联吡啶-4,4''-二甲酸,收率约95%;

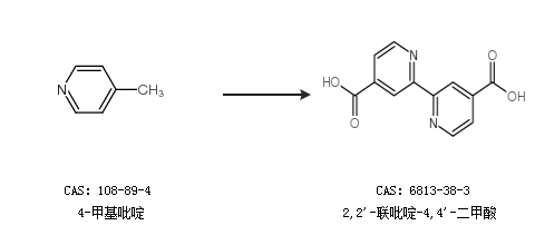
2.通过4-甲基吡啶合成2,2''-联吡啶-4,4''-二甲酸

中华试剂网提醒:合成路线仅供参考