基本信息:
中文名称 双三苯基磷二氯化钯
中文别名 双(三苯基膦)合氯化钯;二(三苯基膦)二氯化钯;二氯化双(三苯基膦)钯(II);反-二(三苯基膦)二氯化钯(II);反-二氯化双(三苯基膦基)钯(Ⅱ);二(三苯基膦)二氯化钯(II);双三苯基;二(三苯基膦)氯化钯;双(三苯基膦)二氯化钯(II);
英文名称 Bis(triphenylphosphine)palladium(II) chloride
英文别名 Palladium(II)bis(triphenylphosphine) dichloride;Bis(triphenylphosphine)palladium(II) Dichloride;(Ph3P)2Pd(II)Cl2;BIS(TRIPHENYLPHOSPHINE)PALLADIUM(II) DI&[(C6H5)3P]2PdCl2;Pd2Cl2(PPh3)2;PdCl2(PPh3)2;trans-Pd(PPh3)2Cl2;Bis(triphenylphosphine)pa...;trans-Dichlorobis(triphenylphosphine)platinum(Ⅱ);Dichlorobis(triphenylphosphine)palladium(II);Palladium(II)bis(triphenylphosphine);trans-dichlorobis(triphenylphosphine)palladium (II);BIS(TRIPHENYLPHOSPHINE)PALLADIUM CHLORIDE;Pd(PPh3)2Cl2;bis-triphenylphosphine-palladium(II) chloride;TRIPHENYLPHOSPHINE PALLADIUM CHLORIDE;Bis(triphenylphosphine)palladium Chloride;DICHLOROBIS(TRIPHENYLPHOSPHINE)PALLADIUM;BIS(TRIPHENYLPHOSPHINE)PALLADIUM(II);
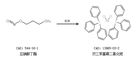
CAS号 13965-03-2
合成路线:
1.通过亚硝酸丁酯合成双三苯基磷二氯化钯,收率约41%;

2.通过二氯二氨钯和三苯基膦合成双三苯基磷二氯化钯

合成路线仅供参考