基本信息:
中文名称 凯素灵
中文别名 4-甲氧基苯甲酸;P-甲氧基苯甲酸;對甲氧苯甲酸;
英文名称 4-methoxybenzoic acid
英文别名 4-Methoxybenzoic Acid;4-METHOXYBENZOIC ACID/P-ANISIC ACID;4-METHOXYBENZOIC ACID (P-ANISIC ACID);4-ANISIC ACID;methoxyphenyl-4-carboxylic acid;4-METHOXYBENZOICACID;Anisic;4-Methoxybenzoic acid;Melting point standard 182-184C;Anisic acid;FEMA 3945;p-Anisc Acid;4-MeO-benzoic acid;draconicacid;p-Anisic Acid;4-methoxy-benzoic acid;p-Anissure;P-Methoxybenzoic Acid;4-METHOXY BENZOIC ACID;4-METHOXYBENZOIC ACID FOR SYNTHESIS;P-METHOXYBENZOICACID;para-methoxy benzoic acid;P-ANISIC ACID;Deltamethrin;P-Methoxy Benzoic Acid;BENZOIC ACID,4-METHOXY-;4-METHOXY-BENZOIC ACID;
CAS号 100-09-4
合成路线:
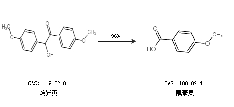
1.通过烷异英合成凯素灵,收率约96%;

2.通过4-溴苯甲醚和二氧化碳合成凯素灵,收率约88%;

中华试剂网提醒:合成路线仅供参考