基本信息:
中文名称 (S)-4-(4-氨基苄基)-1,3-噁唑烷-2-酮
中文别名 (S)-4-(4-氨基苄基)-2-噁唑烷酮;(S)-4-(4-氨基苄基)-1,3-唑烷-2-酮;(4S)-4-[(4-氨基苯基)甲基]-2-恶唑烷酮;(S)-4-(4-氨基苄基)-1,3-唑-2-酮;
英文名称 (S)-4-(4-Aminobenzyl)-2(1H)-oxazolidinone
英文别名 (S)-4-(4-Aminobenzyl)-2-oxazolidinone;ZTR 5;(S)-4-(4-Aminobenzyl)oxazolidin-2-one;(S)-4-(4-Aminobenzyl)-2(1H)-Oxazolidinone;
CAS号 152305-23-2
合成路线:
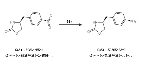
1.通过(S)-4-(4-硝基苄基)-2-噁唑烷酮合成(S)-4-(4-氨基苄基)-1,3-噁唑烷-2-酮,收率约81%;

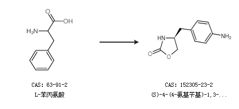
2.通过L-苯丙氨酸合成(S)-4-(4-氨基苄基)-1,3-噁唑烷-2-酮

合成路线仅供参考