基本信息:
中文名称 5-[[7-[3-[乙基(2-羟基乙基)氨基]丙氧基]-4-喹唑啉]氨基]-N-(3-氟苯基)-1H-吡唑-3-乙酰胺
中文别名 多西他赛;
英文名称 2-{3-[(7-[3-[ethyl(2-hydroxyethyl)amino]propoxy]-quinazolin-4-yl)amino]-1H-pyrazol-5-yl}-N-(3-fluorophenyl)acetamide
英文别名 INH 34;Barasertib;AZD1152-HQPA;
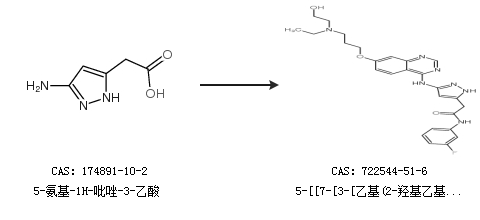
CAS号 722544-51-6
合成路线:
1.通过乙基羟乙胺合成5-[[7-[3-[乙基(2-羟基乙基)氨基]丙氧基]-4-喹唑啉]氨基]-N-(3-氟苯基)-1H-吡唑-3-乙酰胺,收率约82%;

2.通过5-氨基-1H-吡唑-3-乙酸合成5-[[7-[3-[乙基(2-羟基乙基)氨基]丙氧基]-4-喹唑啉]氨基]-N-(3-氟苯基)-1H-吡唑-3-乙酰胺

中华试剂网提醒 合成路线仅供参考