基本信息:
中文名称 2-氯-5-甲氧基嘧啶
英文名称 2-CHLORO-5-METHOXYPYRIMIDINE
英文别名 5-Methoxy-2-chlor-pyrimidin;2-Chlor-5-methoxy-pyrimidin;2-chlor-5-methoxy-pyrimidine;5-methoxy-2-chloropyrimidine;2-chloro-5-methoxy-pyrimidine;Pyrimidine,2-chloro-5-methoxy;2-Chloro-5-Methoxypyrimidine;
CAS号 22536-65-8
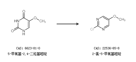
合成路线:
1.通过5-甲氧基-2,4-二羟基嘧啶合成2-氯-5-甲氧基嘧啶

合成路线仅供参考