基本信息:
中文名称 2-二叔丁基膦-2'',4'',6''-三异丙基联苯
中文别名 2-二-叔丁膦基-2’,4’,6’-三异丙基联苯;2-二-叔丁膦基-2'',4'',6''-三异丙基联苯;
英文名称 2‘-DI-Tert-Butylphosphino-2,4,6-Triisopropylbiphenyl
英文别名 ditert-butyl-[2-[2,4,6-tri(propan-2-yl)phenyl]phenyl]phosphane;
CAS号 564483-19-8
合成路线:
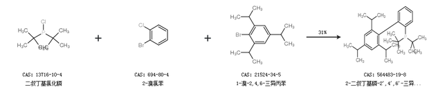
1.通过二叔丁基氯化膦、2-溴氯苯和1-溴-2,4,6-三异丙苯合成2-二叔丁基膦-2'',4'',6''-三异丙基联苯,收率约31%;

合成路线仅供参考