基本信息:
中文名称 1,10-邻二氮杂菲-2,9-二甲酸
中文别名 2,9-二羧基-1,10-菲啰啉;
英文名称 1,10-Phenanthroline-2,9-dicarboxylic acid hydrate
英文别名 1,10-PHENANTHROLINE-2,9-DICARBOXYLIC ACID;
CAS号 57709-61-2
合成路线:
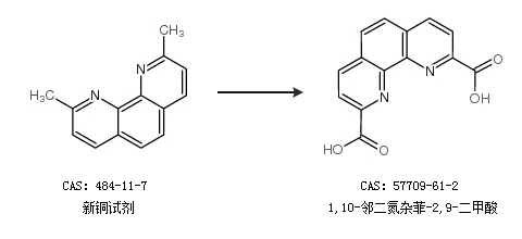
1.通过新铜试剂合成1,10-邻二氮杂菲-2,9-二甲酸

2.通过1,10-菲啰啉-2,9-二甲醛合成1,10-邻二氮杂菲-2,9-二甲酸,收率约93%;

中华试剂网提醒 合成路线仅供参考