基本信息:
中文名称 N -亚硝基- L -脯氨酸
中文别名 N-亚硝基-l-脯氨酸;
英文名称 N-NITROSO-L-PROLINE
英文别名 nitrosoproline;no-pro;1-nitroso-l-proline;L-nitrosoproline;1-Nitrosoproline;(S)-1-nitrosopyrrolidine-2-carboxylic acid;L-Proline,1-nitroso;(2S)-1-nitrosoproline;L-Proline,nitroso;N-NITROSO-PROLINE;NPRO;
CAS号 7519-36-0
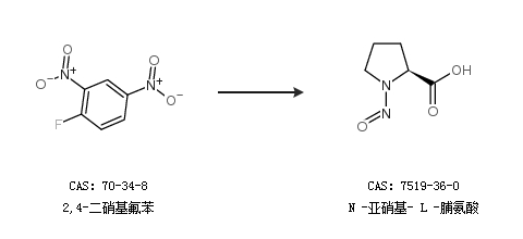
合成路线:
1.通过2,4-二硝基氟苯合成N -亚硝基- L -脯氨酸

中华试剂网提醒:合成路线仅供参考