基本信息:
中文名称 1,4,5,8-四羟基蒽醌
中文别名 1,4,5,8-四羟基-9,10-蒽二酮;
英文名称 1,4,5,8-tetrahydroxyanthraquinone
英文别名 1,4,5,8-Tetrahydroxyanthrachinon;1,4,5,8-TETRAHYDROXYANTHRAQUINONE;1,4,5,8-TETRAHTYDROXYANTHRAQUINONE;1,4,5,8-Tetrahydroxy-9,10-anthrachinon;1,4,5,8-Ltoa;Anthraquinone,1,4,5,8-tetrahydroxy;1,4,5,8-tetrahydroxy-10-anthracenedione;1,4,5,8-tetraoxy-9,10-anthraquinone;1,4,5,8-Leucotetraoxyanthraquinone;1,4,5,8-leucotetrahydroxy-9,10-anthracenedione;1,4,5,8-tetrahydroxy-anthraquinone;1,4,5,8-tetrahydroxy-anthraquinon;RARECHEM AQ BD AN29;1,4,5,8-tetrahydroxy-9,10-antraquinone;1,4,5,8-Tetrahydroxy-9,10-anthacendione;1,4,5,8-tetrahydroxy-9,10-anthraquinone;
CAS号 81-60-7
合成路线:
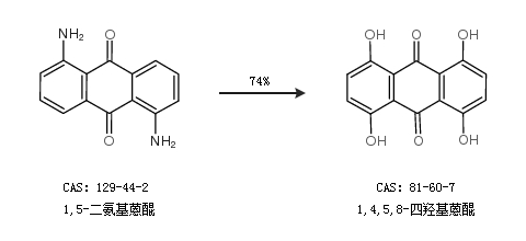
1.通过1,5-二氨基蒽醌合成1,4,5,8-四羟基蒽醌,收率约74%;

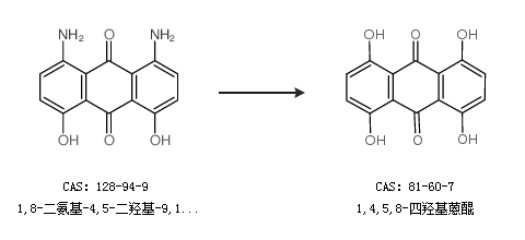
2.通过1,8-二氨基-4,5-二羟基-9,10-蒽二酮合成1,4,5,8-四羟基蒽醌

中华试剂网提醒:合成路线仅供参考