你好,欢迎来到中华试剂网 购试剂 买耗材! [请登录][注册有惊喜]

货号快速下单 | 签到送积分   | 会员中心 | 客服热线:400-021-2765

乙酸钴的合成路线

提问时间:2021/4/26 17:08:08
乙酸钴是什么,有什么方法可以合成?

1条回复:

匿名
2021/4/26 17:08:08
基本信息:
中文名称 乙酸钴
中文别名 草酸钴;乙二酸亚钴;
英文名称 cobalt(II) acetate
英文别名 Cobalt diacetate;cobalt(2+),diacetate;anhydrous cobalt acetate;Cobalt acetate;Cobaltous diacetate;
CAS号 71-48-7

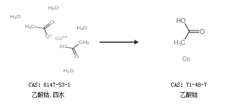
合成路线:
1.通过乙酸钴,四水合成乙酸钴


2.通过环己烯合成乙酸钴


中华试剂网提醒:合成路线仅供参考
回复