基本信息:
中文名称 乙基丁二酸
中文别名 乙琥珀酸;
英文名称 2-ethylbutanedioic acid
英文别名 trans-1,2-butanedicarboxylic acid;Butanedioic acid,2-ethyl;Ethylsuccinic acid;EINECS 211-259-6;monoethyl succinic acid;2-ethylsuccinic acid;
CAS号 636-48-6
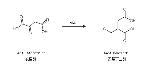
合成路线:
1.通过衣康酸合成乙基丁二酸,收率约96%;

2.通过四氢呋喃合成乙基丁二酸

中华试剂网提醒:合成路线仅供参考