基本信息:
中文名称 	萘亚胺
中文别名 	1,8-萘二甲酰亚胺;1,8-萘酰亚胺;
英文名称 	1,8-Naphthalimide
英文别名 	1,8-NAPHTHALIC ACID AMIDE;1,8-NAPHTHALENEDICARBOXIMIDE;Naphthalene-1,8-dicarbimide;1H-benzo[de]isoquinoline-1,3(2H)-dione;NAPHTHALIMIDE;Naphthalic acid imide;1H-Benz[de]isoquinoline-1,3(2H)-dione;1H-Benz[de]isoquinoline-1,3;benzo[de]isoquinoline-1,3-dione;1,8-Naphthalenediformylimine;
CAS号 	81-83-4
合成路线:
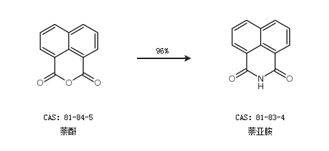
1.通过萘酐合成萘亚胺,收率约96%;

2.通过三甲基硅基异氰酸酯和1-萘甲酰氯合成萘亚胺,收率约57%;

中华试剂网提醒:合成路线仅供参考