基本信息:
中文名称 	邻氨基苯乙酮
中文别名 	2-乙酰苯胺;鄰胺苯乙酮;2''-氨基苯乙酮;2-乙酰基苯胺;2-氨基苯乙酮;O-氨基苯乙酮;
英文名称 	2-Aminoacetophenone
英文别名 	2-Acetylaniline;o-Aminoacetylbenzene;2-amino acetophenone;o-acetylaniline;ortho-aminoacetophenone;FEMA 3906;1-(2-Aminophenyl)ethanone;O-AMINOACETOPHENONE;2''-AminoActophenone;
CAS号 	551-93-9
合成路线:
1.通过邻硝基苯乙酮合成邻氨基苯乙酮,收率约95%;

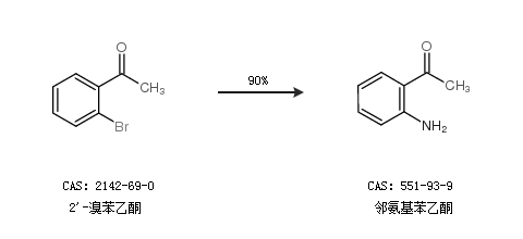
2.通过2''-溴苯乙酮合成邻氨基苯乙酮,收率约90%;

中华试剂网提醒:合成路线仅供参考