你好,欢迎来到中华试剂网 购试剂 买耗材! [请登录][注册有惊喜]

货号快速下单 | 签到送积分   | 会员中心 | 客服热线:400-021-2765

喹啉-6-甲醛的合成路线

提问时间:2021/4/26 17:08:08
喹啉-6-甲醛是什么,有什么方法可以合成?

1条回复:

匿名
2021/4/26 17:08:08
基本信息:
中文名称 喹啉-6-甲醛
中文别名 6-喹啉甲醛;
英文名称 6-Quinolinecarboxaldehyde
英文别名 6-Quinolinecarbaldehyde;Quinoline-6-carbaldehyde;quinoline-6-carbaldehyde;
CAS号 4113-04-6

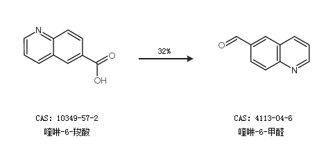
合成路线:
1.通过6-羟甲基喹啉合成喹啉-6-甲醛,收率约93%;


2.通过喹啉-6-羧酸合成喹啉-6-甲醛,收率约32%;


中华试剂网提醒:合成路线仅供参考
回复